
Did you know that the rain falling on your head today contains toxic forever chemicals that exceed US Environmental Protection Agency (EPA) Lifetime Drinking Water Health Advisory levels? It doesn’t matter where you are on the planet; that rain is contaminated. And you can thank DuPont for contributing a lion share in that ubiquitous toxicity. If you want to know why, read on…
I recently wrote an article about my own recent discovery of DuPont’s criminal cover up and continued use of cancer-causing endocrine-disrupting PFOA.
I discovered that for over fifty years, DuPont executives continued to use PFOA to make Teflon, when they fully knew the terrible effects of this toxic and highly persistent chemical (since the 1960s). They continued its use and to discharge it into the environment even when they knew it caused cancer and birth defects in their own employees; they kept it a secret even when these toxic effects leaked into the local drinking water. It was one of the most disastrous and reprehensible environmental cover ups in human history. And resulted in a mere ‘hand slap’ from the EPA, other regulatory agencies and the government.

The 2019 film Dark Waters, starring Mark Ruffalo as lawyer Rob Bilott (who took DuPont to court over this wicked environmental crime) provides an excellent exposé of how DuPont’s executives chose to hurt their own employees and their community to make a profit. For this heinous inhumane crime DuPont was simply fined (the equivalent of one day’s revenue on the Teflon line); no one went to jail.
PFOA (perfluoroactanoic acid; also called C8) belongs to the PFAS family (per- and polyfluroroalkyl substances) called forever chemicals because they break down very slowly or not at all. Chemicals in this class of more than 5,000 substances are found in products like nonstick pans (e.g. “Teflon”), food packaging, waterproof jackets, and carpets to repel water, grease, and stains. They’re also used in firefighting foam often used on military bases and at commercial airports. Even personal care products like waterproof mascaras and eyeliners, sunscreen, shampoo, and shaving cream can contain PFAS.
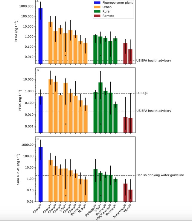
Forever Chemicals Persist in Our Rain
Forever chemicals not only persist; they persist everywhere. Even our rain. Scientists now report that levels of PFOA and PFOS in rainwater often greatly exceed US Environmental Protection Agency (EPA) Lifetime Drinking Water Health Advisory levels. Scientists report that soils everywhere on the planet are contaminated due to global atmospheric deposition—from the remote Arctic to the mountains of Tibet and everywhere in-between). PFAS levels are continuously cycled in the hydrosphere, including sea spray aerosols from the oceans. Because these chemicals persist, their levels can only go up.

Cousins et al. write in the journal Environmental Science and Technology that:
“Until recently, the common belief was that PFAAs would eventually wash off into the oceans where they would stay to be diluted over the time scale of decades,” write Cousins et al. But recent studies have shown that certain PFAS, notably the long-chain PFAAs, can be significantly enriched on sea spray aerosols (SSA) and transported in the atmosphere back to shore where they will be deposited and contaminate freshwaters, drinking waters and surface soils”
Cousins et al. argue that, “persistence … is the key factor that lets pollution problems spiral out of control… because persistence enables chemicals to spread out over large distances, causes long-term, even life-long exposure, and leads to higher and higher levels in the environment as long as emissions continue.” Given the languishing of the EPA in setting more strict regulations, forever chemicals—both regulated and unregulated (unfortunately far too many remain unregulated)—continue to be emitted into groundwater, surface water, and air of planet Earth.
There is literally no where on this planet you can go to escape these chemicals. you carry these cancer-causing chemicals in your system. According to the CDC, over 95% of the U.S. population has PFAS in their bodies. According to one senior CDC official, the presence and concentration of PFAS in U.S. drinking water presents “one of the most seminal public health challenges for the next decades.”
I’m a Canadian and in Canada, the same holds true: 99% of Canadians tested by Health Canada’s biomonitoring surveys have PFOA and PFOS in their blood, including communities in the far north. For more detailed information for Canadians go to this Canadian Environmental Law Association site.
In 2019—sixty-seven years after DuPont knew PFOA was toxic and did nothing—this forever chemical was finally banned globally under the Stockholm Convention. Unfortunately, by 2019, PFOA was already literally everywhere on the planet in concentrations considered unsafe. Given its high water-solubility, long-range transport potential, and lack of degradation in the environment, PFOA persists in groundwater and is ubiquitously present in oceans and other surface water around the globe. It is even found in remote areas of the Arctic and Antarctic (where it was not used or manufactured), no doubt transported there through ocean currents and in the air, bound on particles.
As of March 2022, the EPA’s health advisory for exposure to PFOA and PFOS in drinking water is 70 parts per trillion (levels found in people in Parkersburg and area ranged from 80-200 parts per billion and the national average is said to be 4 parts per billion). EPA’s health advisories are non-enforceable and non-regulatory; they only provide technical information to state agencies and other public health officials on health effects, analytical methodologies, and treatment technologies associated with drinking water contamination. As a result, each state is different, with some states choosing a more conservative threshold limit in their drinking water regulations and others choosing not to regulate at all.
And you can thank DuPont. They knew what these chemicals do, covered up its use to keep making a profit and continued to use them for over five decades before a class action suit led by ordinary citizens stopped them—well, not completely; see below for more on that.
You can also thank the EPA (and the Trump administration) for their lackluster reaction when the effects of PFOA became known in the 1990s.
Earthjustice writes that “The EPA has known for decades about the dangers of these toxic chemicals. Yet the agency only recently jumped into action, largely due to pressure from lawmakers in states like Michigan, New York and North Carolina, where PFAS water contamination is widespread … States are leading the way in establishing water and cleanup regulations and the EPA continues to drag its feet.”
Zoë Schlanger in Quartz discusses why the US government did little about PFAS, despite the known toxicity and persistence of this family of forever chemicals that was getting into every aspect of our environment. Schlanger discloses that poor testing methods were initially used by EPA, and the White House under Trump covered-up evidence and withheld it from journalists. When the information was finally released, it revealed that “the EPA’s recommended threshold for PFAS weren’t even close to being adequate to protect human health—they should be set at levels seven to 10 times lower than they currently are.”
“This is an action plan with no action,” says Suzanne Novak, an Earthjustice attorney working to address PFAS contamination. “It is a long list of initiating steps that EPA should have been doing for the past few years, but no concrete actions.”
Against the advice of more than 200 international scientists, chemical companies have replaced first-generation PFAS with other chemicals in the PFAS family (mostly unregulated and therefore without information on their safe use). New PFAS such as GenX act a lot like old PFAS. Early studies show that they are just as dangerous. Again, the EPA fails to act.
The DDT of This Generation
Zoë Schlanger writes in Quartz: “It may be no accident that most people still don’t know what PFAS are—but as more and more communities begin finding it in their water supplies, and as our scientific understanding of its impact matures, PFAS could emerge as the chemical tragedy of this generation.”
Schlanger reminds us that: “DDT is still ubiquitous, showing up in food, water, and nearly everyone’s blood, even though it was banned in most countries more than 40 years ago. Today, studies link elevated exposure to it to heightened cancer risks, infertility, developmental delays, and most recently, to autism. Now a similar scenario is playing out with PFAS, a class of widely used chemicals that should also be a household name by now. They’re the compounds that give us nonstick pans, waterproof shoes, firefighting foams, and a long list of other products. And they are likely contaminating the water supplies of tens of millions of people in the US. PFAS contamination cases outside the US—particularly in Australia—are also beginning to emerge.”
“It may be no accident that most people still don’t know what PFAS are—but as more and more communities begin finding it in their water supplies, and as our scientific understanding of its impact matures, PFAS could emerge as the chemical tragedy of this generation.”
Zoë Schlanger

Nina Munteanu is a Canadian ecologist / limnologist and novelist. She is co-editor of Europa SF and currently teaches writing courses at George Brown College and the University of Toronto. Visit www.ninamunteanu.ca for the latest on her books. Nina’s bilingual “La natura dell’acqua / The Way of Water” was published by Mincione Edizioni in Rome. Her non-fiction book “Water Is…” by Pixl Press(Vancouver) was selected by Margaret Atwood in the New York Times ‘Year in Reading’ and was chosen as the 2017 Summer Read by Water Canada. Her novel “A Diary in the Age of Water” was released by Inanna Publications (Toronto) in June 2020.







5 thoughts on “Forever Chemicals In Rainwater All Over the Planet”